[最も共有された! √] sinθ=1/2 798640-Sinθ=1/2 θ=
Trigonometric Identities (1) Conditional trigonometrical identities We have certain trigonometric identities Like sin2 θ cos2 θ = 1 and 1 tan2 θ = sec2 θ etc Such identities are identities in the sense that they hold for all value of the angles which satisfy the given condition among them and they are calledSinθ 1 2 √ 2 2 √ 3 2 cosθ √ 3 2 √ 2 2 1 2 tanθ √ 3 3 1 √ 3 secθ cscθ tanθ sinθ cosθ 1 cotθ 圖1 三角函數的基本恆等關係圖 ∼順伯的窩∼ 三角學 I 第1頁/共39頁 If 1 sin2θ = 3sinθ cosθ , then prove that tanθ = 1 or ½ Given 1sin 2 θ = 3 sin θ cos θ Dividing LHS and RHS equations with sin 2 θ, We get, cosec 2 θ 1 = 3 cot θ Since, cosec 2 θ – cot 2 θ = 1 ⇒ cosec 2 θ = cot 2 θ 1 ⇒ cot 2 θ 11 = 3 cot θ ⇒ cot 2 θ 2 = 3 cot θ ⇒ cot 2 θ –3 cot θ 2 = 0 Splitting the middle term and then solving the equation,
Acceleration Of Gravity
Sinθ=1/2 θ=
Sinθ=1/2 θ=- If sin A =1/2, then what is the value of cot A1 Introduction In this investigation, I will aim to find out the relationship between the concentration of sugar solution and the refractive index Concentration is the ratio of solute in a solution to either solvent or total solution Refractive index, a measure of the bending of a ray of light when passing from one medium into another My interest in this topic is based on my passion for



Find The Solutions In Radians For The Equation Sin X 1 2 On The Interval 0 2pi Youtube
You can put this solution on YOUR website!We know sin^2(x)cos^2(x)=1 sin(x) is given as 2/3 So Cos^2(x)=1sin^2(x)=1–4/9=5/9 cos(x)= or (5/9)^05= or (5^05/3) Since it is in 4th quadrant we take only ve value for cos(x)=5^05/3 or we can write it as sqrt(5)/3 I have used All= 249 249 √ 3i (5) Find all
Use the trig conversion table and the trig unit circle to solve sin x = 1/2 Trig table gives sin x = 1/2 = sin (pi/6) > x_1 = pi/6 Trig circle gives another arc x_2 = 5pi/6 that has the same sin value (1/2) Since f(x) = sin x is a periodic function, with period 2pi, then there are an infinity of arcs that have the same sin value (1/2), when the variable arc x rotates around the trigω2=mgLsinθ 1 2 mv COM 21 2 I COM v r 2 =mgLsinθ v COM 2m I COM r2 =2mgLsinθ € v COM = 2gLsinθ 1 I mr2 Using 1D kinematics € v 2=v 0 2aL a= v2 2L = gsinθ 1 I mr2 AND t= 2L gsinθ 1 I mr2 € ΔE mech =0 ΔKE tot AT BOTTOM U AT BOTTOM If sinθ=1/2 then find 3cosθ4cosθ^3=0 Get the answers you need, now!
CM,Sphere = g sinθ / (1 (2/5 MR2)/MR2) = g sinθ / (1 2/5) = 5/7g sinθ 10)a CM, Cylinder = g sinθ / (1 (1/2 MR2)/MR2) = g sinθ / (1 1/2) = 2/3 g sinθ Q18 A sphere and cylinder of equal mass and radius are simultaneously released from the same height, from rest, on the same inclined plane, rolling down the incline without If sin ϕ = 1/2, show that 3 cos ϕ 4cos3ϕ = 0 Evaluate each of the following tan^2 60° 4cos^2 45° 3 sec^2 30° 5 cos^2 90°/Cosec 30° sec 60° cot^2 30°Click here👆to get an answer to your question ️ If sin Θ = cos Θ , then the value of Θ is



Content Graphing The Trigonometric Functions



If Sin 8 1 2 Then Cot 8 A 1 3 B 3 C 3 2 D 1 Sarthaks Econnect Largest Online Education Community
sinθ= 90°≤θ≤180° < you are in quadrant II, in that quad the sine is positive, so there is no solution to your equation if you meant sinθ= the angle in standard position would be ° or appr 35° so θ = 180° 35° = 145° 👍And sinθ = 1 2 So θ = π 6 Thus in polar form we have (√ 3i)50 = (2eiπ/6)50 = 250 ·e50 6 π i This can be simplified since 50π 6 = 8π 2π 6 Thus (√ 3i)50 = 250 ·eπ3 i = 250 cos π 3 isin π 3 So this is our answer in polar form In Cartesian form we have (√ 3i)50 = 250 1 2 i √ 3 2! Transcript Ex 21, 12 Find the value of cos−1 (1/2) 2 sin−1 (1/2) Solving cos−1 (𝟏/𝟐) Let y = cos−1 (1/2) cos y = (1/2) cos y = cos (𝝅/𝟑) ∴ y = 𝝅/𝟑 Since Range of cos−1 is 0 , 𝜋 Hence, the principal value is 𝝅/𝟑 (Since cos 𝜋/3 = 1/2) Solving sin−1 (𝟏/𝟐) Let y = sin−1 (1/2) sin y = 1/2 sin y = sin (𝝅/𝟔) ∴ y = 𝝅/𝟔 Since Range



Small Angle Approximation Brilliant Math Science Wiki



Given That Sin8 1 2 And That 8 Lies In Quadrant Ii Determine The Value Of Cos8 Brainly Com
10 r ( x, y) θ O y x Definition 21 Trigonometric Functions of a General Angle Let θ be an angle in standard position and suppose that ( x , y ) is any point other than ( 0 , 0 ) on the terminal side of θ(Figure 23)If r = x2 y2 is the distance between ( x, y ) and ( 0 , 0 ), then the six trigonometric functions of θ are defined by Using similar triangles, you can see that the valuesAnswer to solve equation over the interval 0,360) for sin^2 theta=sin theta cos^2 thetaSolve your math problems using our free math solver with stepbystep solutions Our math solver supports basic math, prealgebra, algebra, trigonometry, calculus and more



1



Solved 0 4t 12 2 0 Cos 8 Sin 8 E 2 3 Cos2 8 1 15 1 2 2 Chegg Com
Evaluate the six trigonometric function of s=2π/3 Show your solution is 1 o, has a referent angle of 60 o and is in the second quadrant, so we draw a triangle with hypotenuse=r=2, adjacent=x=1, and opposite=y=√3 However, x goes left in QII, so we must make x negative, so we have x=1 instead of 1 in the graph belowMath 114 Quiz & HW of Week 8 Selected Solutions Quiz 7(154, #5 155 #11) Monday Nov 9 1 Find an equation of the tangent plane to the given surface at the Solve sin(θ)=1/2, θ in 0, 360), Find all the values of θ so that sin(θ)=1/2,how to solve trigonometric equations, blackpenredpen



Precalculus Trigonometry Trig Identities 48 Of 57 Solve 2sin 2 Theta Sin Theta 1 0 Theta Youtube



Unit Circle
This set is based on Chapter 4, TwoDimensional Kinematics, of the textbook "Physics" by James S WalkerP3338 Experiment 13 To Do Download Excel File!Solve your math problems using our free math solver with stepbystep solutions Our math solver supports basic math, prealgebra, algebra, trigonometry, calculus and more



Trigonometry Sine Cosine Demonstration This Resource Provides Animated



Part Iii Given Sin 8 1 2 And Frac P 2 Gauthmath
We now that, `sin (pi)/(6) = (1)/(2) and sin(pi θ)` = – sin θ, sin(2π θ) = – sinθ ∴ `sin(pi pi/6) = sin pi/(6) = (1)/(2)` `"and" sin(2pi pi/6Sinθ sinθ 1 = 2 A plane wave traveling in a semiinfinite halfspace that is incident upon a planar interface with a second semiinfinite halfspace The wave transmitted into the second mediumis benttowardthenormal if c 1 >c 2 and awayfromthenormal if c 1RiskhemNongspung riskhemNongspung Math Secondary School answered • expert verified If sinθ=1/2 then find 3cosθ4cosθ^3=0 2 See answers BrainlyVirat BrainlyVirat Correct



Find The Solutions In Radians For The Equation Sin X 1 2 On The Interval 0 2pi Youtube



Using The Pythagorean Trig Identity Video Khan Academy
Free trigonometric equation calculator solve trigonometric equations stepbystepYou just studied 12 terms! Solve on the interval 0,2pi)



A Value Of Theta For Which 2 3isintheta1 2isintheta Is Purely Imaginary Is



9 What Is Sin 8 If 8 Is In Standard Position And Chegg Com
Since a and b are unit vectors, a = 1, b = 1 Lets assume angle between the unit vectors, a and b, is x Now, Using the law of cosines on the triangle formed by vector a, b and its resultant a b = sqrt( a^2 b^2 2 cosx) => a b = if sinθ= 1/2 then θ= asin(1/2) New questions in Mathematics Hey may someone please help me solve/graph and explain professionally (step byFind sinθ, given that cosθ = 4/5 and θ is in quadrant IV CLICK THE ARROWS BELOW TO ADVANCE TAP THE ARROWS BELOW TO ADVANCE √3 Find cotθ, given that cscθ = 2 and θ is in quadrant III Nice work!



Proving Trigonometric Identities



15 Sin 8 1 2 Cos 8 Square Gauthmath
It gets rid of the messy 2sin²x that makes your equation such a complicated thing to solve First solve the identity for sin²x cos²x sin²x = 1 sin²x = 1 cos²x so, 2 ( sin²x ) = 2 (1 cos²x) Now we plug that into your challenge problem 2 (1 cos²x) cos x 1 = 0 2 2cos²x cosx 1 = 0Trigonometric identities are equalities where we would have trigonometric functions and they would be true for every value of the occurring variables Geometrically, these are identities involving certain functions of one or more anglesFree math problem solver answers your algebra, geometry, trigonometry, calculus, and statistics homework questions with stepbystep explanations, just like a math tutor



Basic Trigonometric Functions Trigonometry Socratic



Help Simplifying Sum N 0 Infty Cos N Theta Frac 1 2 Frac Sin N Frac 1 2 Theta 2 Sin Theta 2 Mathematics Stack Exchange
=ercosθ ·ter(−sinθ)1 2 (s8 t8)−1/2(8s7) =tercosθ −ersinθ 4s7 √ s8 t8 =er tcosθ − 4s7 √ s8 t8 sinθ ∂z ∂t = ∂z ∂r ∂r ∂t ∂z ∂θ ∂θ ∂t =ercosθ ·ser(−sinθ)1 2 (s8 t8)−1/2(8t7) =sercosθ −ersinθ 4t7 √ s8 t8 =er scosθ − 4t7 √ s8 t8 sinθEX#2 Find the Inner Loop of r = 1− 2sinθ (sinθ = 1 2 at π 6 and 5π 6 to form the inner loop) A = 1 2 π 6 5π 6 ∫ (1− 2sinθ) 2 dθ = 1 2 π 6 5π 6 ∫ 1− 4sinθ 4sin2 ( θ ) dθ = 1 2 −π 6 π 6 ∫ 1− 4sinθ 4 ⋅ 1− cos2θ 2 ⎛ ⎝ ⎜ ⎞ ⎠ ⎟ dθ = 1 2 −π 6 π 6 ∫ (3 − 4sinθ − 2cos2θ) dθ = 3 2The trigonometric functions and their symmetries We will now think of the trigonometric ratios as functions Thus, the function y = sin θ has input values θ, consisting of angles, initially in the range 0° to 360°, and output values that are real numbers between −1 and 1 In the module on The Quadratic Function, we saw how to draw the



Trigonometry Sine Cosine Demonstration This Resource Provides Animated



If Sin 8 Cos 8 Then What Is The Value Of 2 Tan 8 Sin 8 1 Quora
Integral of sqrt(1 sin(x)) How to integrate it step by step!Method 1 https//youtube/h7VOd0nlocMethod 2 https//youtube/_5W_fp5w2vs#####Ml2θ˙2 mlθ˙(X˙ cosθ −Y˙ sinθ) 1 2 mV2 mglcosθ mgY = 1 2 ml2θ˙2 −mglcosθ − 1 2 mV2 −mgY The first two terms are the usual expression for the energy of a pendulum hanging from a fixed support (or the energy with respect to a frame1 Single Slit – 4 different slits Use known width a and zeroes y destructive to Estimate wavelength of red light 2 Human Hair (Babinet says just single slit) Use λ red (from 1) and zeroes y destructive to Estimate thickness of hair



In A Circle Prove That Ar Abc 1 2 R 2 Sin Theta Youtube



If X 2sintheta 1 Costheta Sintheta T H E N 1 Costheta Sinthet
IT Professional with 8 years of Experience taking Tuitions sin A = 1/2 sin A= sin 30 (degree) so, A = 30degree Therefore Cos A= Cos 30degreeSin (x)=1/2 sin(x) = 1 2 sin ( x) = 1 2 Take the inverse sine of both sides of the equation to extract x x from inside the sine x = arcsin(1 2) x = arcsin ( 1 2) The exact value of arcsin(1 2) arcsin ( 1 2) is π 6 π 6 x = π 6 x = π 6 The sine function is11sinθ =6−sinθ ⇒ sinθ = 1 2 ⇒ θ = π 6 or 5π 6 A =2 Rπ/2 π/6 1 2 (11sinθ)2 −(6−sinθ)2dθ Rπ/2 π/6 (121sin2θ −3612sinθ −sin2θ)dθ Rπ/2 π/6 (1sin2θ 12sinθ −36)dθ =6 Rπ/2 π/6 1 2 (1−cos2θ)2sinθ −6 dθ =6 Rπ/2 π/6 (42sinθ −10cos2θ)dθ =64θ −2cosθ −5sin2θπ/2 π/6



Show That The Circle With Its Center At 1 2 1 2 In The Figure Below Has Polar Equation R Sin Theta Cos Theta And Find The Values Of Theta Between 0



How Do You Graph R 1 Sin Theta Socratic
Since the sinθ = 1/2 when θ = 7/6pi, we can solve (pi/6 x) = 7/6pi, and find that x = pi But, pi is the same coterminal angle as pi So x = pi is one answer (as Aziz found) As a check, note that sin(pi/6 pi) = sin (5/6pi) = 1/2 Also, sinθ = 1/2 when θ = 11/6piIf θ is an acute angle, solve the equation tan θ=Express your answer in degrees, rounded to one decimal place Select the correct choice below, and, if necessary, fill in the answer box to complete your choice (Round to one decimal place as needed Use a comma to separate answers as needed) There is no solution B Question 3 (OR 2nd question) If sin θ = cos θ, then find the value of 2 tan θ cos2 θ Since sin θ = cos θ sin𝜃/cos𝜃 = 1 tan θ = 1 ∴ θ = 45° Now, 2 tan θ cos2 θ Putting θ = 45° = 2 tan 45° cos2 45° = 2 × 1 (1/√2)^2 = 2 1/2 = (2 × 2 1)/2 = (4 1)/2



If Sin 8 3 5 And P 8 3p 2 Then What Is Tan 8 Quora



A Eliminate The Parameter To Find A Cartesian Equation Of The Curve B Sketch The Curve And Indicate With An Arrow The Direction In Which The Curve Is Traced As The Parameter
Trigonometric equation solver This calculator can solve basic trigonometric equations such as or The calculator will find exact or approximate solutions on custom range Solution can be expressed either in radians or degreesQuestion Use the unit circle to find all values of θ between 0 and 2π for which the given statement is true (Enter your answers as a commaseparated list) sin θ = 1/2 θ = rad Found 3 solutions by Alan3354, KMST, MathTherapy



Show That 2t 1 2 1 Cos 8 Sin 8 Cos 8 1 T Chegg Com



Trig Sum And Difference Formulas



Prove That 1 Sin8 Cos8 1 Sin8 Cos8 2 1 Cos8 1 Cos8 Sarthaks Econnect Largest Online Education Community



Sin Theta 1 2 Cos Theta Sqrt 3 2 Youtube



How To Solve Sin X 1 2 Quora



Solved 2 10 Points The Curve With Parametric Equations Chegg Com



7 Let Sin 8 1 2 Find The Exact Value Of Th Gauthmath



Trig Unit Circle Review Article Khan Academy



Mfg Solving Trigonometric Equations



If Sintheta 1 2a N Dcostheta Sqrt 3 2 Then The General



Pythagorean Identity Review Article Khan Academy



Sine Wikipedia



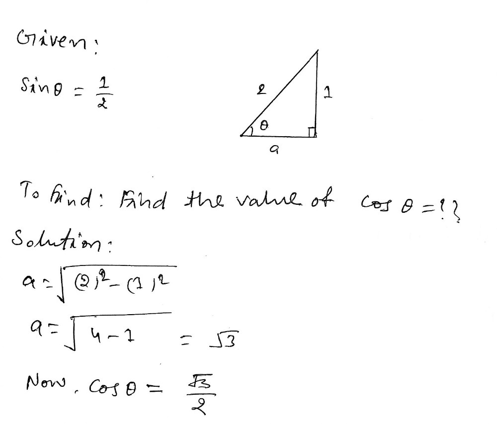
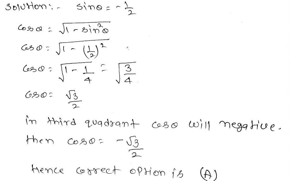
Find Cos 8 If Sin 8 1 2 Is In The Third Gauthmath



How Do You Prove The Identity Sectheta Tantheta 2 1 Sintheta 1 Sintheta Socratic



Polar Coordinates



Determining Values On The Unit Circle Mathonline



Solved If Sin 8 1 2 Find All Other Trigonometric Ratios Of Ang Self Study 365



Acceleration Of Gravity



If Sin 8 Cos 8 Then Find The Value Of 2 Tan 8 Cos 2 8 Teachoo



If Sintheta 1213 Find Tantheta And Versin Theta



Algebraic Derivation For Expression 2r Sin Theta 2 Theta 1 2 For Chord Of Circle Of Radius R Subtending Angle Theta 2 Theta 1 Mathematics Stack Exchange



1 Sin N 1 2 Ndsin 8 2 Sinki Sin Kd Sin 8 Ka Chegg Com



Trig Graphs And Equations Ppt Download



9 Set Up The Integral For The Area Of The Shaded Chegg Com



Content Graphing The Trigonometric Functions



Prove That Sin 8 1 Cos 8 Tan 8 1 Cos 8 Sec 8 Cosec 8 Cot 8 Youtube



Why Is Sin 8 Sin 180 8 Quora



Reference Croft Davision Chapter 6 P Ppt Download



Solve 2 Cos 2 Theta Sin Theta Le 2 Where Pi 2 Le The



How To Solve Trig Equations Sin 8 1 2 8 In 0 360 Youtube



If Sin 8 Cos 8 1 2 Then Find The Value Of Sin 8 Cos 8 Sarthaks Econnect Largest Online Education Community



Www Cerritos Edu Dford Sitepages Math 140 Math140lecture15 Pdf



Calculus 2 Polar Coordinates 5 Of 38 Graph R 1 Sin Theta Youtube



Find The Value Of 8 Satisfying 1 1 Sin38 4 3 Cos8 7 7 2 0 Studyrankersonline



Proving Trigonometric Identities



Trigonometry Sine Cosine Demonstration This Resource Provides Animated



How Do You Find The Area Of The Region Bounded By The Polar Curve R 2 Sin Theta Socratic



28 Tan 1 2 Establish The Identity Cos 8 A 2 0 Chegg Com



Problem 3 12 Points The Curve With Parametric Chegg Com



Solving Trigonometric Equations With Identities Precalculus Ii



How Do You Find Sinx 1 2 Socratic



1 A Use Euler S Identity E 8 Cos 8 I Sin 8 To Prove That Sin 8 Eio 2i B Use The Identi Homeworklib



Nanopdf Com Download Worksheet C3 Chapter 7 Trigonometry Exam Questions Pdf



How Do You Find Sinx 1 2 Socratic



1 Representation Of The State Ps Cos 8 2 1 2 Sin 8 2 Exp Iϕ Download Scientific Diagram



If Tan Theta 1 2 Pi 2 Lessthan Theta Lessthan Pi 2 Then Find Sin Theta Study Com



Sin X 1 2 Give The General Formula Solutions Youtube



A Sin 8 1 2 Kos 8 Frac Square Root Of Gauthmath



Sin8 1 2の角度 8の値 は Sin8 ルート3 2やsin8 1 ルート2 ルート2分の1 を満たす角度は何度 単位円 ウルトラフリーダム



If Sin 8 1 2 And8is In Qiii I Find Tan Gauthmath



Relating Trigonometric Functions Trigonometry Socratic



If Sin Theta 1 2 And Theta Is Acute Then 3 Cos Theta 4 C



Given Cot 8 7 8 Find I 1 Sin 8 1 Sin 8 1 Cos 8 1 Cos 8 Ii 1 Sin 8 Cos 8 Youtube



Unit Circle



This Curve Implicitly I Don T Get Much Insight From This R 2 Sin 8 Now Consider R 2 Sin 8 Again The Values Of Sine Are All Between 1 And 1 So R Will Be Between 1 And 3 Any Points On This Curve Will Have Distance To The Origin Between 1 And 3 We Can Begin



Quantum Phase Diagram Of The Bond Alternating Spin 1 2 K G Chain With K Download Scientific Diagram



2 Sin 8 1 2 Gauthmath



Consider The Equation Below R 1 2 Chegg Com



Q Tbn And9gcswsf Ecpsduz38bfjvi Leyscrwp8sy42we07iguooyebhgdbn Usqp Cau



Sin Theta 1 2 Youtube



C A F Sin 8 1 2 P 1 P Show That I Cos Gauthmath



Q Tbn And9gcqy8notoxwji3s6xnr7rsuxadcyhp Hvgkfjle5f Hfbl3omj6i Usqp Cau



3 Simplitfy And Express As A Single Term Sin 8 1 Chegg Com



The Trigonometry Functions



1 If Sin 8 1 2 Find The Values Of Other F Gauthmath



If Sin 8 3 5 And P 8 3p 2 Then What Is Tan 8 Quora



How Do I Prove Z I 2 With Z I 2 Cos Theta 2i Sin Theta Mathematics Stack Exchange



1 Euler S Identities Are Give By Cos 8 J Sin 8 2j Chegg Com



Www Nextgurukul In Questions Answers Forum Question Academic Sin And 952 Cos And 952 12 Then What Is The Value Of Sin And 259



If Sin Theta 1 2 And Cos Theta Sqrt3 2 Then The General Value Of Theta Which Satisfie Youtube



If Cos 8 Sin 8 1 2 Then Find The Value Of 8 Cos 8 2 Sin 8 4 Cos 8 2 Sin 8 Sarthaks Econnect Largest Online Education Community



1



If Sin Theta 1 2 How Would One Find The Value Of Theta Between 0 And 360 Quora



Pythagorean Identity Review Article Khan Academy



34 If Sin 8 1 2 And Tan 8 Frac Squar Gauthmath



If Sin Theta 1 2 How Would One Find The Value Of Theta Between 0 And 360 Quora



Q6 If Sin8 Cos8 1 2 Then The Value Of Sin8 Cos8 Is If Sin Theta Cos Theta 1 2 Then Youtube



Prove That 1 2 Sin Theta 1 Cos Theta 1 Cos Theta Sin T

コメント
コメントを投稿